Standing waves can be set up in a tube of air, such as that inside an organ pipe, as the result of interference between longitudinal sound waves traveling in opposite directions. The phase relationship between the incident wave and the wave reflected from one end of the pipe depends on whether that end is open or closed. This relationship is analogous to the phase relationships between incident and reflected transverse waves at the end of a string when the end is either fixed or free to move.
In a pipe closed at one end, the closed end is a displacement node because the
wall at this end does not allow longitudinal motion of the air. As a result, at a closed end of a pipe, the reflected sound wave is 180° out of phase with the incident wave. Furthermore, because the pressure wave is 90° out of phase with the displacement wave, the closed end of an air column corresponds to a pressure antinode (that is, a point of maximum pressure variation).
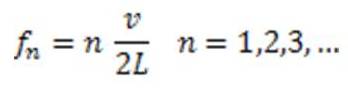
The open end of an air column is approximately a displacement antinode2 and a pressure node. With the boundary conditions of nodes or antinodes at the ends of the air column, we have a set of normal modes of oscillation, as we do for the string fixed at both ends. Thus, the air column has quantized frequencies. The first three normal modes of oscillation of a pipe open at both ends are shown in Figure 18.18a. Note that both ends are displacement antinodes (approximately). In the first normal mode, the standing wave extends between two adjacent antinodes, which is a distance of half a wavelength. Thus, the wavelength is twice the length of the pipe, and the fundamental frequency is .
As Figure 18.18a shows, the frequencies of the higher harmonics are 2f1, 3f1, . . . . Thus, we can say that
Because all harmonics are present, and because the fundamental frequency is given by
the same ex ssion as that for a string, we can express the natural frequencies
of oscillation as
of oscillation as
If a pipe is closed at one end and open at the other, the closed end is a displacement node. In this case, the standing wave for the fundamental mode extends from an antinode to the adjacent node, which is one fourth of a wavelength. Hence, the wavelength for the first normal mode is 4L, and the fundamental frequency is .
As Figure 18.18b shows, the higher-frequency waves that satisfy our conditions are those that have a node at the closed end and an antinode at the open end; this means that the higher harmonics have frequencies
In a pipe closed at one end, the natural frequencies of oscillation form a harmonic series that includes only odd integral multiples of the fundamental frequency. We express this result mathematically as
Musical instruments based on air columns are generally excited by resonance. The air column is presented with a sound wave that is rich in many frequencies. The air column then responds with a large-amplitude oscillation to the frequencies that match the quantized frequencies in its set of harmonics. In many woodwind instruments, the initial rich sound is provided by a vibrating reed. In the brasses, this excitation is provided by the sound coming from the vibration of the player’s lips. In a flute, the initial excitation comes from blowing over an edge at the mouthpiece of the instrument. This is similar to blowing across the opening of a bottle with a narrow neck. The sound of the air rushing across the edge has many frequencies, including one that sets the air cavity in the bottle into resonance.
Standing waves can also be set up in rods and membranes. A rod clamped in the middle and stroked parallel to the rod at one end oscillates, as depicted in Figure 18.20a. The oscillations of the elements of the rod are longitudinal, and so the broken lines in Figure 18.20 represent longitudinal displacements of various parts of the rod. For clarity, we have drawn them in the transverse direction, just as we did for air columns. The midpoint is a displacement node because it is fixed by the clamp, whereas the ends are displacement antinodes because they are free to oscillate. The oscillations in this setup are analogous to those in a pipe open at both ends. The broken lines in Figure 18.20a represent the first normal mode, for which the wavelength is 2L and the frequency is = v/2L
, where v is the speed of longitudinal waves in the rod. Other normal modes may be excited by clamping the rod at different points. For example, the second normal mode (Fig. 18.20b) is excited by clamping the rod a distance L/4 away from one end.
Musical instruments that depend on standing waves in rods include triangles, marimbas, xylophones, glockenspiels, chimes, and vibraphones. Other devices that make sounds from bars include music boxes and wind chimes.
Two-dimensional oscillations can be set up in a flexible membrane stretched over a circular hoop, such as that in a drumhead. As the membrane is struck at some point, waves that arrive at the fixed boundary are reflected many times. The resulting sound is not harmonic because the standing waves have frequencies that are not related by integer multiples. Without this relationship, the sound may be more correctly described as noise than as music. This is in contrast to the situation in wind and stringed instruments, which produce sounds that we describe as musical.
Some possible normal modes of oscillation for a two-dimensional circular membrane
are shown in Figure 18.21. While nodes are points in one-dimensional standing waves on strings and in air columns, a two-dimensional oscillator has curves along which there is no displacement of the elements of the medium. The lowest normal mode, which has a frequency f1, contains only one nodal curve; this curve runs around the outer edge of the membrane. The other possible normal modes show additional nodal curves that are circles and straight lines across the diameter of the membrane.
Beating is the periodic variation in amplitude at a given point due to the superposition of two waves having slightly different frequencies.
Formula of beat Frequencies is :
• The sound wave pattern produces by yhe majority of musical
• In fact we can represent any periodic funcition as a series of sine and cosine terms by using mathematical techniques based on Fourier’s Theorem
• The corresponding sum of terms that represents the periodic wave pattern is called Faurier’s series

















Tidak ada komentar:
Posting Komentar